Skip to content
HamroClass Preloader
วันอาทิตย์, เมษายน 12, 2026
เทศบาลตำบลลำนารายณ์
  • หน้าแรก
  • ข้อมูลพื้นฐาน
    • โครงสร้าง
    • ผู้บริหารเทศบาลตำบลลำนารายณ์
    • สมาชิกสภาเทศบาล
    • หัวหน้าส่วนราชการ
    • ข้อมูลบุคลากร
      • สำนักปลัด
      • กองคลัง
      • กองช่าง
      • กองการศึกษา
      • กองสวัสดิการสังคม
      • กองสาธารณสุขและสิ่งแวดล้อม
      • สถานธนานุบาล
    • อำนาจหน้าที่
  • ข่าวประชาสัมพันธ์
  • กิจกรรมหน่วยงาน
  • หน่วยงานที่เกี่ยวข้อง
    • องค์กรปกครองส่วนท้องถิ่นจังหวัดลพบุรี
    • สำนักงานส่งเสริมการปกครองส่วนท้องถิ่นจังหวัดลพบุรี
    • กรมส่งเสริมการปกครองท้องถิ่น
    • จังหวัดลพบุรี
    • กระทรวงมหาดไทย
  • สภาเทศบาล
    • ประกาศสภาเทศบาล
    • ประกาศกำหนดสมัยประชุม
    • เรียกประชุมสภาเทศบาล
    • ประชาสัมพันธ์การประชุมสภาเทศบาล
    • รายงานการประชุมสภาเทศบาล
  • ข้อมูลการติดต่อ
  • Home
  • การจัดซื้อจัดจ้างหรือแผนการจัดหาพัสดุ
  • รายงานผลการจัดซื้อจัดจ้างหรือการจัดหาพัสดุประจำปี
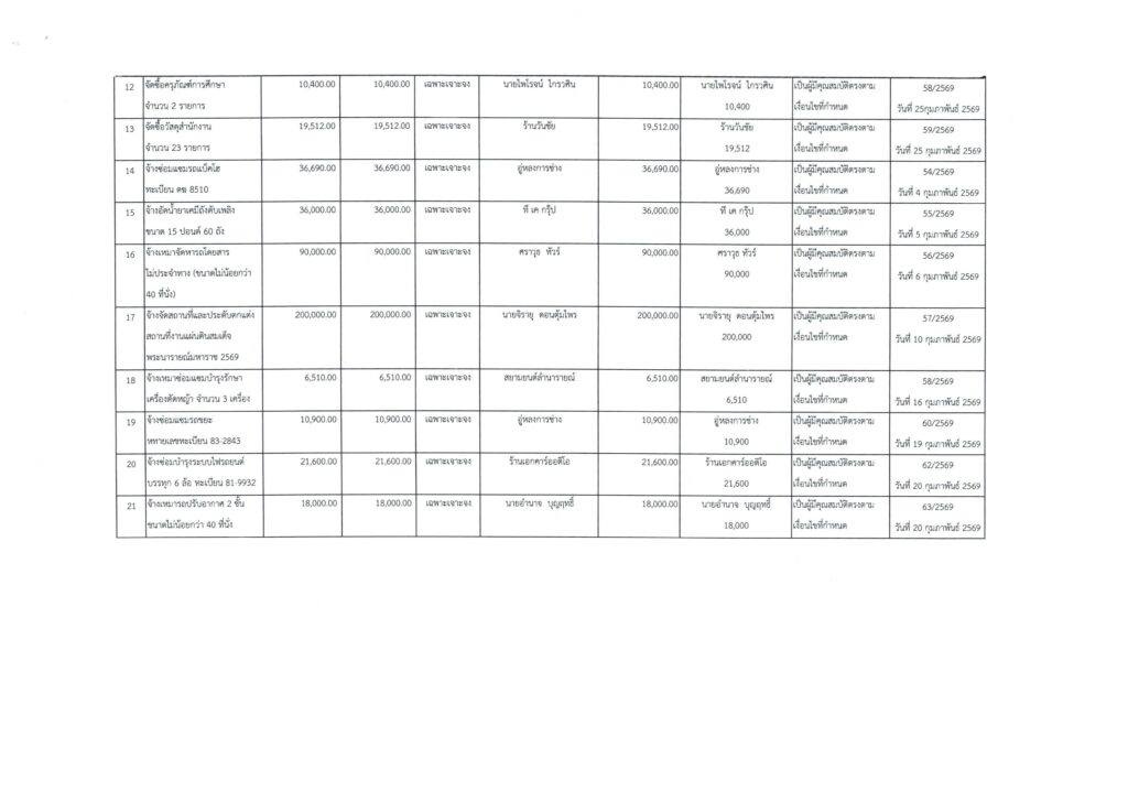
  • รายงานสรุปผลการดำเนินการจัดซื้อจัดจ้างประจำเดือน กุมภาพันธ์ 2569 (สขร.1)

รายงานสรุปผลการดำเนินการจัดซื้อจัดจ้างประจำเดือน กุมภาพันธ์ 2569 (สขร.1)

รายงานผลการจัดซื้อจัดจ้างหรือการจัดหาพัสดุประจำปี
4 มีนาคม 25696 มีนาคม 2026 lamnaraicity@2021
  • FacebookFacebook
  • XTwitter
  • LINELine
lamnaraicity@2021

แนะแนวเรื่อง

ประกาศเทศบาลตำบลลำนารายณ์ เรื่อง ประกวดราคาจ้างก่อสร้างโครงการปรับปรุงถนน คสล. โดยเสริมผิวแอสฟัลท์คอนกรีต ซอยสุระนารายณ์ 47 หมู่ที่ 10 ตำบลลำนารายณ์ อำเภอชัยบาดาล จังหวัดลพบุรี ด้วยวิธีประกวดราคาอิเล็กทรอนิกส์ (e-bidding)
ต้อนรับคณะศึกษาดูงานจากเทศบาลเมืองนิคมพัฒนา จังหวัดระยอง

เรื่องที่เกี่ยวข้อง

รายงานสรุปผลการดำเนินการจัดซื้อจัดจ้างประจำเดือน ธันวาคม 2568 (สขร.1)

8 มกราคม 256912 มกราคม 2026 lamnaraicity@2021

รายงานสรุปผลการดำเนินการจัดซื้อจัดจ้างประจำเดือน มีนาคม 2569 (สขร.1)

3 เมษายน 25697 เมษายน 2026 lamnaraicity@2021

รายงานสรุปผลการดำเนินการจัดซื้อจัดจ้างประจำเดือน พฤศจิกายน 2568 (สขร.1)

4 ธันวาคม 256823 ธันวาคม 2025 lamnaraicity@2021

ผู้บริหารหน่วยงาน

นายภพ สุประเพียร
นายกเทศมนตรีตำบลลำนารายณ์
081-9482488

ข้อมูลพื้นฐาน

  • โครงสร้าง
  • ผู้บริหารเทศบาลตำบลลำนารายณ์
  • อำนาจหน้าที่
  • ข้อมูลการติดต่อ
  • กฎหมายที่เกี่ยวข้อง
  • ข่าวประชาสัมพันธ์
  • Social Network

การบริหารงาน

  • แผนพัฒนาเทศบาล
  • เทศบัญญัติ
  • แผนดำเนินงานประจำปี
  • แผนบริหารความเสี่ยง
    • ตรวจสอบภายใน
  • แผนการปฏิบัติการป้องกันการทุจริต
  • รายงานการกำกับติดตามการดำเนินงานประจำปี รอบ 6 เดือน
  • รายงานผลการดำเนินงานประจำปี

การปฏิบัติงาน & บริการ

  • คู่มือหรือแนวทางการปฏิบัติงานของเจ้าหน้าที่
  • คู่มือหรือแนวทางการขอรับบริการสำหรับผู้รับบริการหรือผู้มาติดต่อ
  • ข้อมูลสถิติการให้บริการ
  • รายงานผลการสำรวจความพึงพอใจการให้บริการ
  • E-Service
  • ดาวน์โหลดแบบฟอร์มสำหรับประชาชน
  • กระดานถาม-ตอบ (Q&A)

การบริหารเงินงบประมาณ

  • แผนการใช้จ่ายงบประมาณประจำปี
  • รายงานการกำกับติดตามใช้จ่ายงบประมาณ รอบ 6 เดือน
  • รายงานผลการใช้จ่ายงบประมาณประจำเดือน
  • รายงานผลการใช้จ่ายงบประมาณประจำปี
    • แผนและความก้าวหน้าในการดำเนินงานและการใช้จ่ายงบประมาณประจำปี

การจัดซื้อจัดจ้างหรือแผนการจัดหาพัสดุ

  • รายการการจัดซื้อจัดจ้างหรือการจัดหาพัสดุ
  • ข่าวจัดซื้อจัดจ้าง
  • ประกาศต่างๆ เกี่ยวกับการจัดซื้อจัดจ้างหรือการจัดหาพัสดุ
    • ประกาศประกวดราคา
    • ประกาศผู้ชนะการเสนอราคา
    • ประกาศการตรวจรับงานจ้าง
    • ข้อมูลสาระสำคัญในสัญญา
  • รายงานและความก้าวหน้าการจัดซื้อจัดจ้างหรือการจัดหาพัสดุ
  • รายงานผลการจัดซื้อจัดจ้างหรือการจัดหาพัสดุประจำปี
  • รายงานผลการพิจารณากระบวนการจัดซื้อจัดจ้าง

การบริหารและพัฒนาทรัพยากรบุคคล

  • แผนการบริหารและพัฒนาทรัพยากรบุคคล
    • แผนอัตรากำลัง 3 ปี
    • แผนพัฒนาบุคลากร 3 ปี
    • นโยบายและกลยุทธ์ด้านการบริหารและพัฒนาทรัพยากรบุคคล
  • การดำเนินการบริหารและพัฒนาทรัพยากรบุคคล
    • การสรรหาและคัดเลือกบุคลากร
    • การบรรจุและการแต่งตั้งบุคลากร
    • การพัฒนาบุคลากร
    • การประเมินผลการปฏิบัติงานบุคลากร
    • การให้คุณให้โทษและสร้างขวัญกำลังใจ
  • หลักเกณฑ์การบริหารและพัฒนาทรัพยากรบุคคล
    • หลักเกณฑ์การสรรหาและคัดเลือกบุคลากร
    • หลักเกณฑ์การบรรจุและการแต่งตั้งบุคลากร
    • หลักเกณฑ์การบริหารงานบุคคลพนักงานจ้าง
    • หลักเกณฑ์การพัฒนาบุคลากร
    • หลักเกณฑ์การประเมินผลการปฏิบัติงานบุคลากร
    • หลักเกณฑ์การให้คุณให้โทษและสร้างขวัญกำลังใจ
  • รายงานผลการบริหารและพัฒนาทรัพยากรบุคคลประจำปี
  • จริยธรรมสำหรับเจ้าหน้าที่ของรัฐ
    • ประมวลจริยธรรมสำหรับเจ้าหน้าที่ของรัฐ
    • การขับเคลื่อนจริยธรรม
  • แบบฟอร์มต่างๆ

การเสริมสร้างความโปร่งใส

  • แนวปฏิบัติการจัดการเรื่องร้องเรียนการทุจริตและประพฤติมิชอบ
  • ช่องทางแจ้งเรื่องร้องเรียนการทุจริตและประพฤติมิชอบ
  • ข้อมูลเชิงสถิติเรื่องร้องเรียนการทุจริตและประพฤติมิชอบประจำปี

การเปิดโอกาสให้มีส่วนร่วม

  • การรับฟังความคิดเห็นของประชาชน
  • การเปิดโอกาสให้เกิดการมีส่วนร่วม

การป้องกันการทุจริต

  • นโยบายไม่รับของขวัญ (No Gift Policy)
  • การมีส่วนร่วมของผู้บริหาร
  • การประเมินความเสี่ยงที่อาจเกิดการให้/รับสินบนจากการดำเนินงานตามภารกิจของหน่วยงานประจำปี
  • รายงานผลการดำเนินการเพื่อจัดการความเสี่ยงการทุจริตและประพฤติมิชอบประจำปี

การเสริมสร้างวัฒนธรรมองค์กร

  • การเสริมสร้างตามมาตรฐานทางจริยธรรม
  • รายงานผลการดำเนินการป้องกันการทุจริตประจำปี

มาตรการภายในเพื่อป้องกันการทุจริต

  • มาตรการส่งเสริมคุณธรรมและความโปร่งใสภายในหน่วยงาน
  • การดำเนินการตามมาตรการส่งเสริมคุณธรรมและความโปร่งใสภายในหน่วยงาน

ระบบสารสนเทศสนับสนุนการบริหารจัดการ

  • มีระบบการเก็บข้อมูลเพื่อใช้ในการติดตามหรือประเมินผลการดำเนินงานขององค์กร
  • มีระบบการรายงานผล และเปรียบเทียบผลการดำเนินงานกับเป้าหมาย
  • มีระบบสารสนเทศที่สนับสนุนการเก็บข้อมูลพื้นฐานที่ใช้ในการบริหาร และจัดการความเสี่ยง
  • มีการนำระบบสารสนเทศและระบบเทคโนโลยีสารสนเทศเข้ามาช่วยในการควบคุมภายในและตรวจสอบภายใน
  • มีระบบสารสนเทศที่สนับสนุนการเก็บรวบรวมข้อมูลด้าน Competency ของบุคลากร ทุกตำแหน่งที่องค์กรต้องการและที่บุคลากรทุกคนมีอยู่ (Competency Inventory)
  • มีระบบสารสนเทศที่เก็บข้อมูลทะเบียนประวัติบุคลากรอย่างครบถ้วน และเป็นปัจจุบัน
  • ระบบสารสนเทศที่สามารถ Share ข้อมูลกับหน่วยงานอื่นที่เกี่ยวข้องภายนอกองค์กรได้
  • ระบบสารสนเทศมาตอบสนองความต้องการของผู้รับบริการ และผู้มีส่วนได้เสียภายในองค์กรมีการนำระบบสารสนเทศมาตอบสนองความต้องการของผู้รับบริการและผู้มีส่วนได้เสียภายในองค์กร (เช่น การลดขั้นตอนและการอำนวยความสะดวกแก่พนักงานและผู้รับบริการภายในองค์กร หรือลดต้นทุนการผลิตหรือต้นทุนในการบริการ)ระบบสารสนเทศมาตอบสนองความต้องการของผู้รับบริการ และผู้มีส่วนได้เสียภายในองค์กร
  • ระบบ Back Office ที่สามารถ Share ข้อมูลระหว่างหน่วยงานอื่นภายในองค์กรได้
  • มีการนำระบบสารสนเทศเพื่อสนับสนุนให้เป็นองค์กรแห่งการเรียนรู้
  • ระบบฐานข้อมูลที่รวดเร็วและค้นหาข้อมูลได้โดยง่าย

สถิติผู้เข้าชมเว็บไซต์

291403
Users Today : 502
Users Yesterday : 3101
This Month : 25547
This Year : 176740
Who's Online : 63

เทศบาลตำบลลำนารายณ์
204/2 หมู่ที่ 6 ต.ลำนารายณ์ อ.ชัยบาดาล จ.ลพบุรี 15130
โทรศัพท์ 036-461758, 036-461759
โทรสาร 036-461595
E-mail : saraban_05160401@dla.go.th, lamnaraicity2021@gmail.com
Website : www.lamnaraicity.go.th

Hosting & Development by บริษัท มีพอ มีเดีย จำกัด

Copyright © 2023 All rights reserved. | Theme: HamroClass by Themecentury.
Font Resize
Contrast
Accessibility by WAH
  • E-Service
  • Social Network
  • กองการศึกษา
  • กองคลัง
  • กองช่าง
  • กองสวัสดิการสังคม
  • กองสาธารณสุขและสิ่งแวดล้อม
  • การรับฟังความคิดเห็นของประชาชน
  • ข้อมูลการติดต่อ
  • ช่องทางแจ้งเรื่องร้องเรียนการทุจริตและประพฤติมิชอบ
  • ดาวน์โหลดแบบฟอร์มสำหรับประชาชน
  • ผู้บริหารเทศบาลตำบลลำนารายณ์
  • มีการนำระบบสารสนเทศเพื่อสนับสนุนให้เป็นองค์กรแห่งการเรียนรู้
  • มีการนำระบบสารสนเทศและระบบเทคโนโลยีสารสนเทศเข้ามาช่วยในการควบคุมภายในและตรวจสอบภายใน
  • มีระบบการรายงานผล และเปรียบเทียบผลการดำเนินงานกับเป้าหมาย
  • มีระบบการเก็บข้อมูลเพื่อใช้ในการติดตามหรือประเมินผลการดำเนินงานขององค์กร
  • มีระบบสารสนเทศที่สนับสนุนการเก็บข้อมูลพื้นฐานที่ใช้ในการบริหาร และจัดการความเสี่ยง
  • มีระบบสารสนเทศที่สนับสนุนการเก็บรวบรวมข้อมูลด้าน Competency ของบุคลากร ทุกตำแหน่งที่องค์กรต้องการและที่บุคลากรทุกคนมีอยู่ (Competency Inventory)
  • มีระบบสารสนเทศที่เก็บข้อมูลทะเบียนประวัติบุคลากรอย่างครบถ้วน และเป็นปัจจุบัน
  • ระบบ Back Office ที่สามารถ Share ข้อมูลระหว่างหน่วยงานอื่นภายในองค์กรได้
  • ระบบฐานข้อมูลที่รวดเร็วและค้นหาข้อมูลได้โดยง่าย
  • ระบบสารสนเทศที่สามารถ Share ข้อมูลกับหน่วยงานอื่นที่เกี่ยวข้องภายนอกองค์กรได้
  • ระบบสารสนเทศมาตอบสนองความต้องการของผู้รับบริการ และผู้มีส่วนได้เสียภายในองค์กรมีการนำระบบสารสนเทศมาตอบสนองความต้องการของผู้รับบริการและผู้มีส่วนได้เสียภายในองค์กร (เช่น การลดขั้นตอนและการอำนวยความสะดวกแก่พนักงานและผู้รับบริการภายในองค์กร หรือลดต้นทุนการผลิตหรือต้นทุนในการบริการ)ระบบสารสนเทศมาตอบสนองความต้องการของผู้รับบริการ และผู้มีส่วนได้เสียภายในองค์กร
  • สถานธนานุบาล
  • สมาชิกสภาเทศบาล
  • สำนักปลัด
  • หน้าแรก
  • หัวหน้าส่วนราชการ
  • องค์กรปกครองส่วนท้องถิ่นจังหวัดลพบุรี
  • อำนาจหน้าที่
  • แบบฟอร์มต่างๆ
  • โครงสร้าง